Fixed Effects Tests

Published

November 18, 2025

Abstract

Show how different FE’s absorb different variation in the data.

Code
```{r}
#| message: false
#| warning: false
#| label: prepare-data

library(tidyverse)
library(fixest)
library(haven)
library(kableExtra)
library(modelsummary)
library(ggplot2)
library(patchwork)
library(DescTools)
library(broom)
library(tibble)
library(purrr)
library(plotly)

# Don't include grid lines in ggplot, only axes
theme_set(theme_minimal())

df <- read_dta("/Users/st2246/Work/Pilot3/data/generated/main/transform/30_merged_panel-hh_id-period.dta") %>%
    mutate(
        treatment = as.factor(treatment),
        treatment_split = as.factor(treatment_split),
        treatment_balanced = as.factor(treatment_balanced),
        enum_id = as.factor(enum_id),
        # Make sure draw is non-empty for control arms too
        draw_realized = ifelse(treatment == 0, "C", draw_realized),
        draw_imputed = ifelse(treatment == 0, "C", draw_imputed),
        draw_imputed_lag1 = ifelse(treatment == 0, "C", draw_imputed_lag1),
        draw_realized_lag1 = ifelse(treatment == 0, "C", draw_realized_lag1),
        pass_bags = if_else(is.na(pass_bags), 0, pass_bags),
        study_income = as.numeric(pass_bags * 12),
        study_income = if_else(treatment == 0, 0, study_income),
        study_income = if_else(pickup_completed == 0, 0, study_income),
        # high = draw == "H"
        hh_size = as.numeric(hh_size),
        hh_id = as.factor(hh_id)
    )

# Define variables to analyze
variables <- c(
    "total_consumption_99",
    "gad2_z",
    "phq2_z",
    "total_income_99"
)


# Create baseline values using filter + join approach
baseline_df <- df %>%
    filter(period == 0) %>%
    select(hh_id, all_of(variables)) %>%
    rename_with(~ paste0(.x, "_bl"), .cols = -hh_id)

df <- df %>%
    left_join(baseline_df, by = "hh_id")
```
Code
```{r}
#| message: false
#| warning: false
#| label: useful-functions
# Function to run regressions for a variable
run_regressions <- function(
    var,
    fe_spec,
    varLabel = variableLabels[var],
    reg_data = df,
    controls = paste0(var, "_bl + hh_size + wealth_index")) {
    formula <- paste0(var, " ~ i(treatment)")
    if (fe_spec != "None") {
        formula <- paste0(var, " ~ i(treatment) | ", fe_spec)
    }

    # By Treatment groups
    model <- feols(as.formula(formula),
        cluster = "community_id",
        data = reg_data
    )
    model
}

model_to_ses <- function(model, name) {
    result <- model %>%
        tidy() %>%
        # Only keep terms with "treatment::"
        filter(str_detect(term, "treatment::")) %>%
        # Keep the min, max and avg of std.error
        summarise(
            min_se = min(std.error),
            max_se = max(std.error),
            avg_se = mean(std.error)
        ) %>%
        mutate(
            fe_spec = name
        )
    result
}

# Make basic tables using modelsummary and kableExtra to show results
variableLabels <- c(
    "total_consumption_99" = "Total Consumption",
    "gad2_z" = "GAD-2 Z-Score",
    "phq2_z" = "PHQ-2 Z-Score",
    "total_income_99" = "Total Income"
)

makeTable <- function(models) {
    table <- modelsummary(models,
        escape = FALSE,
        rename = variableLabels,
        output = "kableExtra",
        estimate = "{estimate}{stars}",
        statistic = "{std.error} ({conf.low}, {conf.high})",
        coef_omit = NULL,
        coef_omit_sources = FALSE,
        stars = c(`***` = 0.01, `**` = 0.05, `*` = 0.1),
        gof_map = tribble(
            ~raw, ~clean, ~fmt,
            "nobs", "Observations", 0,
            "FE", "Community FE", 1,
        )
    ) %>%
        kable_classic(full_width = F, html_font = "Cambria", fixed_thead = T)
    table
}

fe_specs <- c(
    "District Fixed Effects" = "district_id",
    "Community Fixed Effects" = "community_id",
    "Wave Fixed Effects" = "wave",
    "Cohort Fixed Effects" = "cohort",
    "Period Fixed Effects" = "period",
    "Enumerator Fixed Effects" = "enum_id",
    "Day of Survey Fixed Effects" = "day_of_week",
    "Survey on Time" = "on_time"
)
```

1 SE Comparison Across Variables

To help us pick which variables to use as a fixed effects, I’ve the made the following graphs and tables.

The table below shows the regression results for PHQ-2 Z-Score when using a bunch of different potential fixed effects.

Code
```{r}
#| message: false
#| warning: false
#| label: run-estimates

# For the var phq2_z, run regressions for all FE specs and make tables
results <- map(c("None" = "None", fe_specs), ~ {
    run_regressions("phq2_z", .x)
})

makeTable(results)
```
None District Fixed Effects Community Fixed Effects Wave Fixed Effects Cohort Fixed Effects Period Fixed Effects Enumerator Fixed Effects Day of Survey Fixed Effects Survey on Time
(Intercept) −0.139***
0.028 (−0.195, −0.084)
treatment = 1 −0.065* −0.066* −0.065* −0.065* −0.066* −0.062* −0.051 −0.064* −0.066*
0.035 (−0.134, 0.004) 0.035 (−0.135, 0.003) 0.036 (−0.136, 0.006) 0.035 (−0.134, 0.004) 0.034 (−0.134, 0.003) 0.035 (−0.131, 0.007) 0.033 (−0.116, 0.014) 0.035 (−0.133, 0.005) 0.035 (−0.134, 0.003)
treatment = 2 −0.022 −0.024 −0.033 −0.022 −0.019 −0.020 −0.015 −0.020 −0.022
0.038 (−0.098, 0.054) 0.038 (−0.100, 0.052) 0.039 (−0.110, 0.043) 0.038 (−0.098, 0.054) 0.040 (−0.098, 0.059) 0.038 (−0.096, 0.056) 0.037 (−0.088, 0.059) 0.039 (−0.096, 0.056) 0.038 (−0.097, 0.054)
treatment = 3 −0.072** −0.074** −0.077** −0.072** −0.071** −0.070** −0.062** −0.070** −0.072**
0.030 (−0.132, −0.012) 0.030 (−0.134, −0.014) 0.031 (−0.138, −0.016) 0.030 (−0.132, −0.012) 0.031 (−0.132, −0.010) 0.030 (−0.130, −0.010) 0.029 (−0.119, −0.004) 0.030 (−0.130, −0.010) 0.030 (−0.132, −0.012)
Observations 14803 14803 14803 14803 14803 14803 14803 14803 14803
Code
```{r}
#| message: false
#| warning: false
make_se_graph <- function(var, fes = c(fe_specs, "None")) {
    visual_results <- map_df(fes, ~ {
        run_regressions(var, .x) %>%
            model_to_ses(.x)
    })

    avg_treatment_coef <- run_regressions(var, "None") %>%
        tidy() %>%
        filter(str_detect(term, "treatment::")) %>%
        summarise(
            avg_coef = abs(mean(estimate))
        ) %>%
        pull(avg_coef)

    visual_results <- visual_results %>%
        mutate(
            fe_spec = fct_reorder(fe_spec, avg_se, .desc = TRUE),
            avg_se_pct_coeff = (avg_se / avg_treatment_coef) * 100
        )

    varName <- variableLabels[[var]]

    plot <- ggplot(visual_results, aes(y = fe_spec)) +
        geom_point(aes(x = avg_se)) +
        geom_errorbar(aes(xmin = min_se, xmax = max_se), width = 0.2) +
        geom_vline(xintercept = avg_treatment_coef, color = "red") +
        labs(
            title = varName,
            x = "SE (min, avg, max)",
            y = NULL
        )

    plot2 <- ggplot(visual_results, aes(y = fe_spec)) +
        geom_point(aes(x = avg_se_pct_coeff)) +
        # Color the point corresponding fe_spec == None as red
        geom_point(data = filter(visual_results, fe_spec == "None"), aes(x = avg_se_pct_coeff), color = "red") +
        labs(
            title = varName,
            x = "SE as % of Coefficient",
            y = NULL
        )
    # Rotate y-axis labels for readability
    plot2 <- plot2 + theme(axis.text.y = element_text(angle = 45, hjust = 1))

    plot2
}
```

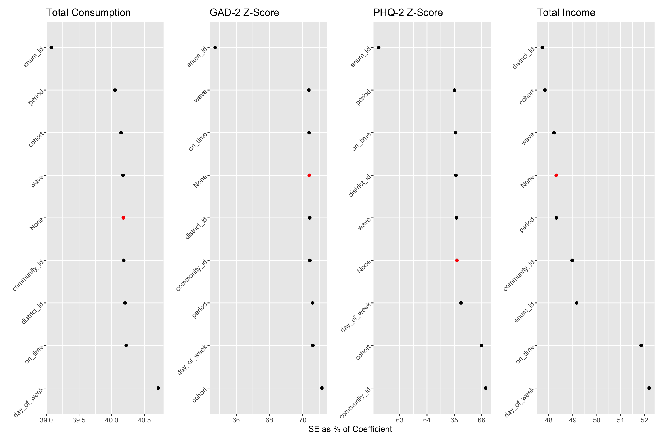
Note that the differences are not large, both when comparing between different fixed effects as well as when comparing to having no fixed effects at all.

Below, I show how the SE’s change when using different fixed effects for 4 outcomes:

  • Total Consumption
  • GAD-2 Z-Score
  • PHQ-2 Z-Score
  • Total Income

I use the average SE across treatment arms for visualization. I also divide the SE by the average treatment effect coefficient to create a reference point for understanding the magnitude of the SE.

Note that the SEs individual treatment arms are not indentical (in particular, Risky is a bit smaller due to the larger sample size) but they follow similar patterns when changing as seen by the table above.

Code
```{r}
#| fig.width: 12
#| fig.height: 8
#| message: false
#| warning: false
# Used shared y-axis for easier comparison
# Have common x-axis labels
# Add custom x-axis caption
make_se_graph("total_consumption_99") + make_se_graph("gad2_z") + make_se_graph("phq2_z") + make_se_graph("total_income_99") + plot_layout(ncol = 4, axis_titles = "collect")
```

Enumerator Fixed Effects seems to reduce SE’s by noteable amount; the other fixed effects have much less meaninful impact on SE’s (or sometimes increase it). District FEs seem to be helpful for income but not for the other variables.

2 Powerset of Fixed Effects

I also take a look at every combination of the above fixed effects across our 4 different outcomes. The results for the 4 different outcomes are shown in the tabs below.

Code
```{r}
#| label: fe-powerset

fe_power_set_raw <- unlist(lapply(0:length(fe_specs), function(n) {
    combn(fe_specs, n, FUN = list)
}), recursive = FALSE)

fe_power_set <- fe_power_set_raw %>%
    set_names(
        nm = lapply(fe_power_set_raw, function(x) {
            if (length(x) == 0) {
                "No Fixed Effects"
            } else {
                paste(names(x), collapse = " + ")
            }
        })
    )

fe_power_set <- fe_power_set %>%
    map(~ paste(.x, collapse = " + "))

# Replace empty string with "None"
fe_power_set <- fe_power_set %>%
    imap(~ if (.y == "No Fixed Effects") "None" else .x)

power_set_se_df <- function(var) {
    coef <- run_regressions(var, "None") %>%
        tidy() %>%
        filter(str_detect(term, "treatment::")) %>%
        summarise(
            avg_coef = abs(mean(estimate))
        ) %>%
        pull(avg_coef)

    df <- map_df(fe_power_set, ~ {
        run_regressions(var, .x) %>%
            model_to_ses(.x)
    }) %>%
        arrange(avg_se) %>%
        mutate(
            fe_spec = fct_reorder(fe_spec, avg_se, .desc = FALSE),
            avg_se_pct_coeff = (avg_se / coef) * 100,
            none_se = avg_se[fe_spec == "None"],
            avg_se_pct_none = (avg_se / none_se) * 100
        ) %>%
        select(-none_se)
}
```
Code
```{r}
#| warning: false
#| message: false
#| cache: true
#| label: fe-powerset-dfs(SLOW)
phq2_power_set_se <- power_set_se_df("phq2_z")
gad2_power_set_se <- power_set_se_df("gad2_z")
consumption_power_set_se <- power_set_se_df("total_consumption_99")
income_power_set_se <- power_set_se_df("total_income_99")
```
Code
```{r}
#| label: fe-powerset-table-maker

nice_table <- function(df) {
    df %>%
        arrange(avg_se) %>%
        select(fe_spec, avg_se, avg_se_pct_coeff, avg_se_pct_none) %>%
        # Name the columns to be human readable
        rename(
            "FE Specification" = fe_spec,
            "Average SE" = avg_se,
            "As % of Coef." = avg_se_pct_coeff,
            "As % of No FE SE" = avg_se_pct_none
        ) %>%
        kableExtra::kable() %>%
        kableExtra::scroll_box(height = "300px")
        # Limit to 20 rows before scrolling
        

        
}
```
Code
```{r}
#| warning: false
#| message: false
#| label: tbl-phq2-ses
#| classes: plain

# Display as kable table that is scrollable
# Show the columns in this order
# fe_spec, avg_se, ave_se_pct_coeff, avg_se_pct_none
# drop the other columns

phq2_power_set_se %>%
    nice_table()
```
FE Specification Average SE As % of Coef. As % of No FE SE
district_id + wave + enum_id + day_of_week + on_time 0.0328398 62.01209 95.26186
district_id + wave + enum_id 0.0328496 62.03049 95.29012
district_id + wave + enum_id + on_time 0.0328514 62.03398 95.29549
district_id + wave + enum_id + day_of_week 0.0328524 62.03577 95.29824
district_id + enum_id + day_of_week + on_time 0.0328535 62.03785 95.30142
district_id + enum_id 0.0328648 62.05920 95.33422
district_id + enum_id + day_of_week 0.0328658 62.06113 95.33718
district_id + enum_id + on_time 0.0328662 62.06193 95.33842
wave + enum_id + day_of_week + on_time 0.0329309 62.18402 95.52597
wave + enum_id 0.0329380 62.19747 95.54663
wave + enum_id + on_time 0.0329405 62.20224 95.55395
wave + enum_id + day_of_week 0.0329431 62.20711 95.56144
enum_id + day_of_week + on_time 0.0329464 62.21331 95.57097
district_id + wave + period + enum_id + day_of_week + on_time 0.0329523 62.22444 95.58806
enum_id 0.0329545 62.22865 95.59452
district_id + wave + period + enum_id + day_of_week 0.0329552 62.22995 95.59653
enum_id + on_time 0.0329563 62.23193 95.59958
enum_id + day_of_week 0.0329587 62.23655 95.60667
district_id + period + enum_id + day_of_week + on_time 0.0329623 62.24338 95.61716
district_id + period + enum_id + day_of_week 0.0329651 62.24855 95.62510
district_id + wave + period + enum_id + on_time 0.0329887 62.29317 95.69365
district_id + period + enum_id + on_time 0.0329999 62.31427 95.72606
district_id + wave + period + enum_id 0.0330002 62.31496 95.72712
district_id + period + enum_id 0.0330120 62.33716 95.76122
wave + period + enum_id + day_of_week + on_time 0.0330436 62.39683 95.85289
wave + period + enum_id + day_of_week 0.0330467 62.40278 95.86203
period + enum_id + day_of_week + on_time 0.0330552 62.41883 95.88668
period + enum_id + day_of_week 0.0330584 62.42487 95.89596
wave + period + enum_id + on_time 0.0330768 62.45963 95.94936
wave + period + enum_id 0.0330879 62.48060 95.98157
period + enum_id + on_time 0.0330882 62.48104 95.98225
period + enum_id 0.0331001 62.50350 96.01675
district_id + wave + cohort + enum_id + day_of_week + on_time 0.0331013 62.50584 96.02035
district_id + wave + cohort + enum_id + day_of_week 0.0331120 62.52607 96.05143
district_id + wave + cohort + enum_id + on_time 0.0331206 62.54225 96.07628
district_id + wave + cohort + enum_id 0.0331214 62.54374 96.07857
district_id + cohort + enum_id + day_of_week + on_time 0.0331236 62.54793 96.08501
district_id + cohort + enum_id + day_of_week 0.0331341 62.56775 96.11544
district_id + cohort + enum_id + on_time 0.0331428 62.58410 96.14056
district_id + cohort + enum_id 0.0331439 62.58634 96.14400
district_id + wave + cohort + period + enum_id + day_of_week + on_time 0.0332058 62.70319 96.32352
district_id + wave + cohort + period + enum_id + day_of_week 0.0332077 62.70669 96.32889
wave + cohort + enum_id + day_of_week + on_time 0.0332084 62.70797 96.33085
wave + cohort + enum_id + day_of_week 0.0332185 62.72704 96.36014
community_id + enum_id + day_of_week + on_time 0.0332197 62.72939 96.36376
community_id + wave + enum_id + day_of_week + on_time 0.0332208 62.73152 96.36702
district_id + cohort + period + enum_id + day_of_week + on_time 0.0332218 62.73335 96.36984
district_id + community_id + enum_id + day_of_week + on_time 0.0332231 62.73577 96.37356
district_id + cohort + period + enum_id + day_of_week 0.0332235 62.73653 96.37473
district_id + community_id + wave + enum_id + day_of_week + on_time 0.0332242 62.73790 96.37683
wave + cohort + enum_id + on_time 0.0332279 62.74483 96.38748
wave + cohort + enum_id 0.0332280 62.74510 96.38790
cohort + enum_id + day_of_week + on_time 0.0332323 62.75322 96.40037
community_id + enum_id + on_time 0.0332391 62.76606 96.42009
community_id + wave + enum_id + on_time 0.0332403 62.76821 96.42339
cohort + enum_id + day_of_week 0.0332425 62.77249 96.42996
district_id + community_id + enum_id + on_time 0.0332425 62.77249 96.42997
district_id + wave + cohort + period + enum_id + on_time 0.0332428 62.77295 96.43068
district_id + community_id + wave + enum_id + on_time 0.0332437 62.77463 96.43326
community_id + enum_id 0.0332468 62.78054 96.44234
community_id + enum_id + day_of_week 0.0332479 62.78268 96.44562
community_id + wave + enum_id 0.0332479 62.78269 96.44564
community_id + wave + enum_id + day_of_week 0.0332490 62.78481 96.44890
district_id + community_id + enum_id 0.0332502 62.78698 96.45222
cohort + enum_id + on_time 0.0332506 62.78770 96.45333
district_id + community_id + enum_id + day_of_week 0.0332513 62.78908 96.45545
district_id + community_id + wave + enum_id 0.0332513 62.78912 96.45551
cohort + enum_id 0.0332515 62.78938 96.45592
district_id + community_id + wave + enum_id + day_of_week 0.0332524 62.79120 96.45871
district_id + wave + cohort + period + enum_id 0.0332561 62.79808 96.46927
district_id + cohort + period + enum_id + on_time 0.0332601 62.80569 96.48097
district_id + cohort + period + enum_id 0.0332741 62.83210 96.52154
wave + cohort + period + enum_id + day_of_week + on_time 0.0333178 62.91458 96.64824
wave + cohort + period + enum_id + day_of_week 0.0333198 62.91836 96.65405
cohort + period + enum_id + day_of_week + on_time 0.0333351 62.94721 96.69838
cohort + period + enum_id + day_of_week 0.0333371 62.95113 96.70439
community_id + period + enum_id + day_of_week + on_time 0.0333401 62.95666 96.71288
community_id + wave + period + enum_id + day_of_week + on_time 0.0333412 62.95880 96.71617
district_id + community_id + period + enum_id + day_of_week + on_time 0.0333435 62.96308 96.72275
district_id + community_id + wave + period + enum_id + day_of_week + on_time 0.0333446 62.96523 96.72606
community_id + period + enum_id + day_of_week 0.0333513 62.97782 96.74539
community_id + wave + period + enum_id + day_of_week 0.0333524 62.97997 96.74870
wave + cohort + period + enum_id + on_time 0.0333537 62.98242 96.75245
district_id + community_id + period + enum_id + day_of_week 0.0333547 62.98424 96.75526
district_id + community_id + wave + period + enum_id + day_of_week 0.0333558 62.98640 96.75857
wave + cohort + period + enum_id 0.0333666 63.00670 96.78976
cohort + period + enum_id + on_time 0.0333707 63.01452 96.80178
cohort + period + enum_id 0.0333844 63.04041 96.84154
community_id + period + enum_id + on_time 0.0333887 63.04854 96.85402
community_id + wave + period + enum_id + on_time 0.0333899 63.05071 96.85736
district_id + community_id + period + enum_id + on_time 0.0333921 63.05499 96.86394
district_id + community_id + wave + period + enum_id + on_time 0.0333933 63.05712 96.86722
community_id + period + enum_id 0.0334111 63.09082 96.91897
community_id + wave + period + enum_id 0.0334122 63.09296 96.92227
district_id + community_id + period + enum_id 0.0334145 63.09725 96.92886
district_id + community_id + wave + period + enum_id 0.0334156 63.09941 96.93218
community_id + cohort + enum_id + day_of_week + on_time 0.0335918 63.43198 97.44306
community_id + wave + cohort + enum_id + day_of_week + on_time 0.0335929 63.43414 97.44639
district_id + community_id + cohort + enum_id + day_of_week + on_time 0.0335952 63.43845 97.45300
district_id + community_id + wave + cohort + enum_id + day_of_week + on_time 0.0335963 63.44062 97.45634
community_id + cohort + enum_id + on_time 0.0336158 63.47741 97.51286
community_id + cohort + enum_id + day_of_week 0.0336166 63.47896 97.51523
community_id + wave + cohort + enum_id + on_time 0.0336170 63.47958 97.51618
community_id + wave + cohort + enum_id + day_of_week 0.0336178 63.48109 97.51850
district_id + community_id + cohort + enum_id + on_time 0.0336193 63.48391 97.52284
district_id + community_id + cohort + enum_id + day_of_week 0.0336201 63.48541 97.52515
district_id + community_id + wave + cohort + enum_id + on_time 0.0336204 63.48606 97.52613
district_id + community_id + wave + cohort + enum_id + day_of_week 0.0336212 63.48758 97.52847
community_id + cohort + enum_id 0.0336237 63.49223 97.53561
community_id + wave + cohort + enum_id 0.0336248 63.49440 97.53895
district_id + community_id + cohort + enum_id 0.0336271 63.49873 97.54560
district_id + community_id + wave + cohort + enum_id 0.0336283 63.50087 97.54889
community_id + cohort + period + enum_id + day_of_week + on_time 0.0336948 63.62659 97.74202
community_id + wave + cohort + period + enum_id + day_of_week + on_time 0.0336960 63.62876 97.74535
district_id + community_id + cohort + period + enum_id + day_of_week + on_time 0.0336983 63.63310 97.75202
district_id + community_id + wave + cohort + period + enum_id + day_of_week + on_time 0.0336994 63.63526 97.75534
community_id + cohort + period + enum_id + day_of_week 0.0337035 63.64305 97.76731
community_id + wave + cohort + period + enum_id + day_of_week 0.0337047 63.64522 97.77064
district_id + community_id + cohort + period + enum_id + day_of_week 0.0337070 63.64953 97.77726
district_id + community_id + wave + cohort + period + enum_id + day_of_week 0.0337081 63.65171 97.78061
community_id + cohort + period + enum_id + on_time 0.0337355 63.70334 97.85992
community_id + wave + cohort + period + enum_id + on_time 0.0337366 63.70550 97.86324
district_id + community_id + cohort + period + enum_id + on_time 0.0337389 63.70983 97.86989
district_id + community_id + wave + cohort + period + enum_id + on_time 0.0337401 63.71201 97.87323
community_id + cohort + period + enum_id 0.0337574 63.74478 97.92359
community_id + wave + cohort + period + enum_id 0.0337586 63.74695 97.92691
district_id + community_id + cohort + period + enum_id 0.0337609 63.75128 97.93356
district_id + community_id + wave + cohort + period + enum_id 0.0337620 63.75347 97.93693
district_id + wave + period + on_time 0.0343604 64.88333 99.67259
district_id + wave + period + day_of_week 0.0343669 64.89566 99.69154
district_id + wave + period + day_of_week + on_time 0.0343723 64.90595 99.70735
district_id + wave + period 0.0343771 64.91498 99.72123
district_id + period + on_time 0.0343879 64.93526 99.75238
wave + period + on_time 0.0343945 64.94777 99.77159
wave + period + day_of_week 0.0343965 64.95155 99.77740
district_id + wave + on_time 0.0343968 64.95212 99.77827
wave + period + day_of_week + on_time 0.0344014 64.96075 99.79154
district_id + period + day_of_week 0.0344016 64.96119 99.79221
district_id + period 0.0344041 64.96598 99.79957
district_id + period + day_of_week + on_time 0.0344068 64.97100 99.80727
period + on_time 0.0344076 64.97248 99.80956
wave + period 0.0344105 64.97797 99.81799
period + day_of_week 0.0344186 64.99326 99.84147
district_id + on_time 0.0344220 64.99972 99.85139
period + day_of_week + on_time 0.0344226 65.00082 99.85309
period 0.0344234 65.00245 99.85558
district_id + wave 0.0344263 65.00777 99.86376
wave + on_time 0.0344351 65.02447 99.88942
on_time 0.0344457 65.04453 99.92024
district_id 0.0344513 65.05514 99.93654
wave 0.0344622 65.07559 99.96795
None 0.0344732 65.09645 100.00000
district_id + wave + day_of_week + on_time 0.0345004 65.14773 100.07876
district_id + wave + day_of_week 0.0345110 65.16772 100.10947
wave + day_of_week + on_time 0.0345258 65.19572 100.15249
district_id + day_of_week + on_time 0.0345317 65.20692 100.16969
wave + day_of_week 0.0345350 65.21311 100.17920
day_of_week + on_time 0.0345420 65.22623 100.19936
district_id + day_of_week 0.0345420 65.22637 100.19958
day_of_week 0.0345519 65.24497 100.22815
district_id + wave + cohort + period + day_of_week 0.0347565 65.63127 100.82158
district_id + wave + cohort + period + on_time 0.0347591 65.63634 100.82937
district_id + wave + cohort + period + day_of_week + on_time 0.0347622 65.64209 100.83819
district_id + wave + cohort + period 0.0347758 65.66772 100.87757
district_id + cohort + period + on_time 0.0347864 65.68781 100.90843
district_id + cohort + period + day_of_week 0.0347902 65.69495 100.91939
district_id + wave + cohort + on_time 0.0347950 65.70398 100.93327
district_id + cohort + period + day_of_week + on_time 0.0347958 65.70552 100.93563
district_id + cohort + period 0.0348028 65.71873 100.95592
district_id + cohort + on_time 0.0348199 65.75111 101.00566
district_id + wave + cohort 0.0348243 65.75939 101.01839
district_id + cohort 0.0348494 65.80677 101.09118
wave + cohort + period + day_of_week 0.0348585 65.82398 101.11761
wave + cohort + period + day_of_week + on_time 0.0348649 65.83607 101.13618
wave + cohort + period + on_time 0.0348704 65.84641 101.15207
district_id + wave + cohort + day_of_week + on_time 0.0348769 65.85870 101.17095
cohort + period + day_of_week 0.0348841 65.87238 101.19197
wave + cohort + period 0.0348853 65.87460 101.19537
cohort + period + on_time 0.0348876 65.87884 101.20189
district_id + wave + cohort + day_of_week 0.0348885 65.88061 101.20461
cohort + period + day_of_week + on_time 0.0348898 65.88315 101.20851
cohort + period 0.0349027 65.90735 101.24569
district_id + cohort + day_of_week + on_time 0.0349093 65.91997 101.26508
wave + cohort + on_time 0.0349102 65.92156 101.26751
district_id + cohort + day_of_week 0.0349205 65.94106 101.29747
cohort + on_time 0.0349248 65.94916 101.30991
community_id + period + day_of_week + on_time 0.0349355 65.96938 101.34098
wave + cohort 0.0349363 65.97091 101.34332
community_id + wave + period + day_of_week + on_time 0.0349367 65.97162 101.34441
district_id + community_id + period + day_of_week + on_time 0.0349390 65.97607 101.35125
district_id + community_id + wave + period + day_of_week + on_time 0.0349402 65.97830 101.35468
community_id + period + day_of_week 0.0349424 65.98238 101.36095
community_id + period + on_time 0.0349427 65.98297 101.36185
community_id + wave + period + day_of_week 0.0349436 65.98462 101.36438
community_id + wave + period + on_time 0.0349439 65.98520 101.36528
district_id + community_id + period + day_of_week 0.0349459 65.98908 101.37123
district_id + community_id + period + on_time 0.0349462 65.98966 101.37213
district_id + community_id + wave + period + day_of_week 0.0349471 65.99131 101.37466
district_id + community_id + wave + period + on_time 0.0349474 65.99189 101.37556
cohort 0.0349517 65.99999 101.38800
community_id + on_time 0.0349703 66.03514 101.44199
community_id + wave + on_time 0.0349715 66.03737 101.44542
district_id + community_id + on_time 0.0349739 66.04184 101.45228
district_id + community_id + wave + on_time 0.0349751 66.04407 101.45571
wave + cohort + day_of_week + on_time 0.0349760 66.04576 101.45830
wave + cohort + day_of_week 0.0349848 66.06243 101.48391
community_id + period 0.0349878 66.06806 101.49257
community_id + wave + period 0.0349889 66.07029 101.49600
district_id + community_id + period 0.0349913 66.07476 101.50286
district_id + community_id + wave + period 0.0349925 66.07700 101.50629
cohort + day_of_week + on_time 0.0349992 66.08959 101.52563
cohort + day_of_week 0.0350085 66.10723 101.55273
community_id 0.0350298 66.14735 101.61437
community_id + wave 0.0350309 66.14959 101.61780
district_id + community_id 0.0350333 66.15406 101.62467
district_id + community_id + wave 0.0350345 66.15629 101.62810
community_id + day_of_week + on_time 0.0350494 66.18452 101.67147
community_id + wave + day_of_week + on_time 0.0350506 66.18676 101.67491
district_id + community_id + day_of_week + on_time 0.0350530 66.19124 101.68179
district_id + community_id + wave + day_of_week + on_time 0.0350542 66.19348 101.68523
community_id + day_of_week 0.0350996 66.27930 101.81706
community_id + wave + day_of_week 0.0351008 66.28154 101.82050
district_id + community_id + day_of_week 0.0351032 66.28602 101.82739
district_id + community_id + wave + day_of_week 0.0351044 66.28826 101.83083
community_id + cohort + period + day_of_week + on_time 0.0354007 66.84774 102.69029
community_id + wave + cohort + period + day_of_week + on_time 0.0354019 66.85000 102.69376
community_id + cohort + period + on_time 0.0354019 66.85002 102.69379
community_id + wave + cohort + period + on_time 0.0354031 66.85228 102.69727
community_id + cohort + period + day_of_week 0.0354035 66.85311 102.69855
district_id + community_id + cohort + period + day_of_week + on_time 0.0354042 66.85452 102.70070
community_id + wave + cohort + period + day_of_week 0.0354047 66.85537 102.70201
district_id + community_id + wave + cohort + period + day_of_week + on_time 0.0354054 66.85678 102.70418
district_id + community_id + cohort + period + on_time 0.0354055 66.85680 102.70421
district_id + community_id + wave + cohort + period + on_time 0.0354067 66.85906 102.70768
district_id + community_id + cohort + period + day_of_week 0.0354071 66.85988 102.70895
district_id + community_id + wave + cohort + period + day_of_week 0.0354083 66.86215 102.71243
community_id + cohort + on_time 0.0354175 66.87956 102.73917
community_id + wave + cohort + on_time 0.0354187 66.88182 102.74264
district_id + community_id + cohort + on_time 0.0354211 66.88634 102.74959
district_id + community_id + wave + cohort + on_time 0.0354223 66.88860 102.75306
community_id + cohort + period 0.0354440 66.92962 102.81608
community_id + wave + cohort + period 0.0354452 66.93189 102.81956
district_id + community_id + cohort + period 0.0354476 66.93641 102.82651
district_id + community_id + wave + cohort + period 0.0354488 66.93867 102.82998
community_id + cohort 0.0354736 66.98550 102.90191
community_id + wave + cohort 0.0354748 66.98776 102.90539
district_id + community_id + cohort 0.0354772 66.99229 102.91235
district_id + community_id + wave + cohort 0.0354784 66.99455 102.91582
community_id + cohort + day_of_week + on_time 0.0354863 67.00950 102.93879
community_id + wave + cohort + day_of_week + on_time 0.0354875 67.01177 102.94228
district_id + community_id + cohort + day_of_week + on_time 0.0354899 67.01630 102.94923
district_id + community_id + wave + cohort + day_of_week + on_time 0.0354911 67.01857 102.95272
community_id + cohort + day_of_week 0.0355247 67.08198 103.05012
community_id + wave + cohort + day_of_week 0.0355259 67.08426 103.05362
district_id + community_id + cohort + day_of_week 0.0355283 67.08876 103.06055
district_id + community_id + wave + cohort + day_of_week 0.0355295 67.09104 103.06404
Code
```{r}
#| warning: false
#| message: false
#| label: tbl-gad2-ses
#| classes: plain

gad2_power_set_se %>%
    nice_table()
```
FE Specification Average SE As % of Coef. As % of No FE SE
community_id + period + enum_id + day_of_week + on_time 0.0331696 64.55529 91.70982
community_id + wave + period + enum_id + day_of_week + on_time 0.0331708 64.55749 91.71295
district_id + community_id + period + enum_id + day_of_week + on_time 0.0331730 64.56190 91.71920
district_id + community_id + wave + period + enum_id + day_of_week + on_time 0.0331742 64.56409 91.72232
community_id + period + enum_id + day_of_week 0.0331880 64.59111 91.76071
community_id + wave + period + enum_id + day_of_week 0.0331892 64.59331 91.76384
district_id + community_id + period + enum_id + day_of_week 0.0331914 64.59771 91.77008
district_id + community_id + wave + period + enum_id + day_of_week 0.0331926 64.59990 91.77320
district_id + wave + period + enum_id + day_of_week + on_time 0.0332003 64.61500 91.79465
district_id + wave + enum_id 0.0332023 64.61896 91.80027
district_id + wave + period + enum_id + day_of_week 0.0332057 64.62551 91.80958
district_id + wave + enum_id + day_of_week + on_time 0.0332092 64.63232 91.81925
district_id + period + enum_id + day_of_week + on_time 0.0332152 64.64406 91.83593
district_id + period + enum_id + day_of_week 0.0332198 64.65300 91.84862
district_id + enum_id 0.0332254 64.66390 91.86411
wave + period + enum_id + day_of_week + on_time 0.0332307 64.67419 91.87873
wave + period + enum_id + day_of_week 0.0332341 64.68071 91.88800
district_id + enum_id + day_of_week + on_time 0.0332384 64.68906 91.89986
community_id + enum_id 0.0332390 64.69022 91.90151
community_id + enum_id + day_of_week + on_time 0.0332399 64.69205 91.90410
community_id + wave + enum_id 0.0332401 64.69250 91.90474
community_id + wave + enum_id + day_of_week + on_time 0.0332410 64.69427 91.90726
period + enum_id + day_of_week + on_time 0.0332411 64.69437 91.90740
wave + enum_id 0.0332415 64.69511 91.90845
district_id + wave + enum_id + day_of_week 0.0332417 64.69560 91.90914
district_id + community_id + enum_id 0.0332424 64.69688 91.91097
district_id + community_id + enum_id + day_of_week + on_time 0.0332433 64.69860 91.91341
district_id + community_id + wave + enum_id 0.0332435 64.69908 91.91409
period + enum_id + day_of_week 0.0332440 64.69995 91.91533
district_id + community_id + wave + enum_id + day_of_week + on_time 0.0332444 64.70080 91.91654
district_id + wave + enum_id + on_time 0.0332457 64.70326 91.92004
community_id + period + enum_id 0.0332541 64.71965 91.94331
community_id + wave + period + enum_id 0.0332552 64.72185 91.94645
district_id + community_id + period + enum_id 0.0332575 64.72626 91.95270
district_id + community_id + wave + period + enum_id 0.0332586 64.72846 91.95583
wave + enum_id + day_of_week + on_time 0.0332590 64.72916 91.95683
enum_id 0.0332625 64.73607 91.96664
district_id + wave + period + enum_id 0.0332640 64.73893 91.97070
district_id + enum_id + on_time 0.0332685 64.74765 91.98310
community_id + period + enum_id + on_time 0.0332690 64.74868 91.98455
district_id + enum_id + day_of_week 0.0332695 64.74970 91.98601
community_id + wave + period + enum_id + on_time 0.0332701 64.75088 91.98768
district_id + community_id + period + enum_id + on_time 0.0332724 64.75529 91.99394
district_id + community_id + wave + period + enum_id + on_time 0.0332735 64.75750 91.99708
district_id + period + enum_id 0.0332781 64.76630 92.00959
district_id + wave + period + enum_id + on_time 0.0332794 64.76893 92.01332
community_id + enum_id + on_time 0.0332862 64.78208 92.03201
community_id + wave + enum_id + on_time 0.0332873 64.78428 92.03513
enum_id + day_of_week + on_time 0.0332873 64.78434 92.03522
wave + enum_id + day_of_week 0.0332887 64.78699 92.03898
district_id + community_id + enum_id + on_time 0.0332896 64.78868 92.04138
district_id + community_id + wave + enum_id + on_time 0.0332907 64.79089 92.04452
wave + enum_id + on_time 0.0332911 64.79174 92.04574
wave + period + enum_id 0.0332918 64.79303 92.04757
district_id + period + enum_id + on_time 0.0332926 64.79454 92.04970
community_id + enum_id + day_of_week 0.0332989 64.80694 92.06732
community_id + wave + enum_id + day_of_week 0.0333001 64.80914 92.07046
period + enum_id 0.0333008 64.81048 92.07235
district_id + community_id + enum_id + day_of_week 0.0333023 64.81354 92.07670
district_id + community_id + wave + enum_id + day_of_week 0.0333035 64.81576 92.07986
wave + period + enum_id + on_time 0.0333093 64.82716 92.09605
enum_id + on_time 0.0333118 64.83195 92.10285
enum_id + day_of_week 0.0333162 64.84047 92.11496
period + enum_id + on_time 0.0333172 64.84255 92.11792
community_id + cohort + period + enum_id + day_of_week + on_time 0.0333806 64.96594 92.29321
community_id + wave + cohort + period + enum_id + day_of_week + on_time 0.0333818 64.96816 92.29635
district_id + community_id + cohort + period + enum_id + day_of_week + on_time 0.0333840 64.97257 92.30262
district_id + community_id + wave + cohort + period + enum_id + day_of_week + on_time 0.0333852 64.97477 92.30574
community_id + cohort + period + enum_id + day_of_week 0.0333963 64.99649 92.33661
community_id + wave + cohort + period + enum_id + day_of_week 0.0333975 64.99872 92.33977
district_id + community_id + cohort + period + enum_id + day_of_week 0.0333997 65.00311 92.34601
district_id + community_id + wave + cohort + period + enum_id + day_of_week 0.0334009 65.00533 92.34916
community_id + cohort + enum_id + day_of_week + on_time 0.0334353 65.07232 92.44433
community_id + wave + cohort + enum_id + day_of_week + on_time 0.0334364 65.07453 92.44748
district_id + community_id + cohort + enum_id + day_of_week + on_time 0.0334387 65.07888 92.45366
district_id + community_id + wave + cohort + enum_id + day_of_week + on_time 0.0334398 65.08110 92.45681
community_id + cohort + enum_id 0.0334536 65.10793 92.49492
community_id + wave + cohort + enum_id 0.0334547 65.11015 92.49808
district_id + community_id + cohort + enum_id 0.0334570 65.11455 92.50433
district_id + community_id + wave + cohort + enum_id 0.0334581 65.11674 92.50743
district_id + wave + cohort + period + enum_id + day_of_week + on_time 0.0334599 65.12017 92.51232
district_id + wave + cohort + enum_id + day_of_week + on_time 0.0334615 65.12341 92.51692
community_id + cohort + period + enum_id 0.0334631 65.12644 92.52122
community_id + wave + cohort + period + enum_id 0.0334642 65.12866 92.52437
district_id + wave + cohort + period + enum_id + day_of_week 0.0334660 65.13217 92.52936
district_id + community_id + cohort + period + enum_id 0.0334665 65.13307 92.53064
district_id + community_id + wave + cohort + period + enum_id 0.0334676 65.13528 92.53378
community_id + cohort + period + enum_id + on_time 0.0334741 65.14779 92.55155
community_id + wave + cohort + period + enum_id + on_time 0.0334752 65.15001 92.55470
district_id + community_id + cohort + period + enum_id + on_time 0.0334775 65.15446 92.56102
district_id + community_id + wave + cohort + period + enum_id + on_time 0.0334786 65.15664 92.56412
district_id + cohort + period + enum_id + day_of_week + on_time 0.0334846 65.16827 92.58065
community_id + cohort + enum_id + day_of_week 0.0334858 65.17064 92.58401
community_id + wave + cohort + enum_id + day_of_week 0.0334870 65.17286 92.58717
district_id + wave + cohort + enum_id 0.0334870 65.17300 92.58736
district_id + community_id + cohort + enum_id + day_of_week 0.0334892 65.17723 92.59337
district_id + cohort + period + enum_id + day_of_week 0.0334900 65.17885 92.59568
district_id + community_id + wave + cohort + enum_id + day_of_week 0.0334903 65.17946 92.59654
district_id + wave + cohort + enum_id + day_of_week 0.0334922 65.18302 92.60160
community_id + cohort + enum_id + on_time 0.0334943 65.18713 92.60744
community_id + wave + cohort + enum_id + on_time 0.0334954 65.18935 92.61059
district_id + community_id + cohort + enum_id + on_time 0.0334977 65.19376 92.61685
district_id + community_id + wave + cohort + enum_id + on_time 0.0334988 65.19593 92.61994
district_id + cohort + enum_id + day_of_week + on_time 0.0335055 65.20889 92.63836
wave + cohort + period + enum_id + day_of_week + on_time 0.0335144 65.22623 92.66299
wave + cohort + period + enum_id + day_of_week 0.0335183 65.23395 92.67395
district_id + wave + cohort + enum_id + on_time 0.0335215 65.24018 92.68280
district_id + cohort + enum_id 0.0335216 65.24030 92.68297
wave + cohort + enum_id + day_of_week + on_time 0.0335306 65.25776 92.70778
cohort + period + enum_id + day_of_week + on_time 0.0335336 65.26359 92.71606
district_id + cohort + enum_id + day_of_week 0.0335347 65.26588 92.71931
district_id + wave + cohort + period + enum_id 0.0335368 65.26982 92.72490
cohort + period + enum_id + day_of_week 0.0335371 65.27054 92.72593
district_id + wave + cohort + period + enum_id + on_time 0.0335468 65.28934 92.75263
wave + cohort + enum_id 0.0335479 65.29148 92.75569
district_id + cohort + enum_id + on_time 0.0335561 65.30739 92.77829
wave + cohort + enum_id + day_of_week 0.0335583 65.31176 92.78449
district_id + cohort + period + enum_id 0.0335601 65.31515 92.78931
district_id + cohort + period + enum_id + on_time 0.0335693 65.33306 92.81475
cohort + enum_id + day_of_week + on_time 0.0335730 65.34042 92.82521
cohort + enum_id 0.0335793 65.35262 92.84254
wave + cohort + enum_id + on_time 0.0335885 65.37046 92.86788
wave + cohort + period + enum_id 0.0335911 65.37551 92.87505
cohort + enum_id + day_of_week 0.0335999 65.39274 92.89954
wave + cohort + period + enum_id + on_time 0.0336029 65.39860 92.90786
cohort + period + enum_id 0.0336078 65.40810 92.92136
cohort + period + enum_id + on_time 0.0336188 65.42952 92.95179
cohort + enum_id + on_time 0.0336199 65.43153 92.95464
wave + on_time 0.0361525 70.36051 99.95694
wave + period + day_of_week + on_time 0.0361554 70.36632 99.96521
wave 0.0361574 70.37020 99.97072
wave + period + day_of_week 0.0361577 70.37079 99.97155
community_id + on_time 0.0361616 70.37823 99.98213
on_time 0.0361628 70.38056 99.98543
community_id + wave + on_time 0.0361628 70.38061 99.98550
district_id + community_id + on_time 0.0361652 70.38537 99.99226
district_id + community_id + wave + on_time 0.0361665 70.38775 99.99564
None 0.0361680 70.39082 100.00000
district_id + wave + on_time 0.0361690 70.39267 100.00263
district_id + wave 0.0361728 70.40002 100.01308
period + day_of_week + on_time 0.0361748 70.40402 100.01876
district_id + wave + period + day_of_week + on_time 0.0361764 70.40712 100.02316
period + day_of_week 0.0361772 70.40860 100.02526
district_id + wave + period + day_of_week 0.0361793 70.41283 100.03127
community_id + period + day_of_week + on_time 0.0361795 70.41309 100.03165
district_id + on_time 0.0361798 70.41365 100.03244
community_id + wave + period + day_of_week + on_time 0.0361807 70.41547 100.03503
district_id 0.0361830 70.41989 100.04131
district_id + community_id + period + day_of_week + on_time 0.0361831 70.42024 100.04180
district_id + community_id + wave + period + day_of_week + on_time 0.0361844 70.42262 100.04518
community_id 0.0361878 70.42935 100.05474
community_id + wave 0.0361890 70.43172 100.05812
district_id + community_id 0.0361915 70.43648 100.06488
district_id + community_id + wave 0.0361927 70.43887 100.06826
community_id + cohort + on_time 0.0361935 70.44038 100.07041
district_id + period + day_of_week + on_time 0.0361941 70.44154 100.07206
community_id + wave + cohort + on_time 0.0361947 70.44276 100.07379
district_id + period + day_of_week 0.0361970 70.44720 100.08010
district_id + community_id + cohort + on_time 0.0361972 70.44752 100.08055
district_id + community_id + wave + cohort + on_time 0.0361984 70.44990 100.08394
wave + day_of_week + on_time 0.0361987 70.45057 100.08489
community_id + period + day_of_week 0.0362084 70.46937 100.11159
community_id + wave + period + day_of_week 0.0362096 70.47175 100.11498
district_id + community_id + period + day_of_week 0.0362121 70.47652 100.12175
community_id + cohort 0.0362132 70.47869 100.12484
district_id + community_id + wave + period + day_of_week 0.0362133 70.47890 100.12514
community_id + wave + cohort 0.0362144 70.48107 100.12822
district_id + community_id + cohort 0.0362169 70.48584 100.13499
day_of_week + on_time 0.0362179 70.48786 100.13787
district_id + community_id + wave + cohort 0.0362181 70.48822 100.13838
district_id + wave + day_of_week + on_time 0.0362270 70.50562 100.16309
community_id + day_of_week + on_time 0.0362352 70.52146 100.18559
community_id + wave + day_of_week + on_time 0.0362364 70.52384 100.18898
district_id + community_id + day_of_week + on_time 0.0362388 70.52861 100.19576
district_id + community_id + wave + day_of_week + on_time 0.0362401 70.53100 100.19914
community_id + cohort + day_of_week + on_time 0.0362444 70.53941 100.21110
community_id + wave + cohort + day_of_week + on_time 0.0362456 70.54180 100.21449
district_id + day_of_week + on_time 0.0362457 70.54200 100.21477
district_id + community_id + cohort + day_of_week + on_time 0.0362481 70.54657 100.22126
community_id + cohort + period + day_of_week + on_time 0.0362487 70.54781 100.22303
district_id + community_id + wave + cohort + day_of_week + on_time 0.0362493 70.54895 100.22465
community_id + wave + cohort + period + day_of_week + on_time 0.0362499 70.55019 100.22642
district_id + community_id + cohort + period + day_of_week + on_time 0.0362524 70.55496 100.23319
district_id + community_id + wave + cohort + period + day_of_week + on_time 0.0362536 70.55735 100.23659
wave + period 0.0362564 70.56278 100.24430
wave + day_of_week 0.0362577 70.56539 100.24801
wave + period + on_time 0.0362630 70.57569 100.26264
period 0.0362680 70.58531 100.27631
district_id + wave + period 0.0362680 70.58533 100.27633
community_id + cohort + period + day_of_week 0.0362683 70.58606 100.27737
community_id + wave + cohort + period + day_of_week 0.0362696 70.58843 100.28074
district_id + community_id + cohort + period + day_of_week 0.0362720 70.59321 100.28753
district_id + community_id + wave + cohort + period + day_of_week 0.0362732 70.59560 100.29092
period + on_time 0.0362747 70.59845 100.29497
day_of_week 0.0362764 70.60167 100.29955
district_id + wave + period + on_time 0.0362769 70.60278 100.30113
community_id + period + on_time 0.0362776 70.60403 100.30290
community_id + wave + period + on_time 0.0362788 70.60641 100.30629
district_id + period 0.0362794 70.60754 100.30788
district_id + community_id + period + on_time 0.0362813 70.61119 100.31307
district_id + community_id + wave + period + on_time 0.0362825 70.61357 100.31646
district_id + wave + day_of_week 0.0362838 70.61620 100.32019
community_id + period 0.0362886 70.62556 100.33349
district_id + period + on_time 0.0362893 70.62677 100.33521
community_id + wave + period 0.0362899 70.62795 100.33688
district_id + community_id + period 0.0362923 70.63272 100.34366
district_id + community_id + wave + period 0.0362935 70.63511 100.34705
district_id + day_of_week 0.0363014 70.65032 100.36866
community_id + cohort + day_of_week 0.0363352 70.71613 100.46216
community_id + wave + cohort + day_of_week 0.0363364 70.71852 100.46556
community_id + cohort + period + on_time 0.0363370 70.71963 100.46712
community_id + wave + cohort + period + on_time 0.0363382 70.72202 100.47052
district_id + community_id + cohort + day_of_week 0.0363389 70.72331 100.47235
district_id + community_id + wave + cohort + day_of_week 0.0363401 70.72570 100.47575
district_id + community_id + cohort + period + on_time 0.0363407 70.72680 100.47731
district_id + community_id + wave + cohort + period + on_time 0.0363419 70.72919 100.48071
community_id + cohort + period 0.0363472 70.73950 100.49535
community_id + wave + cohort + period 0.0363484 70.74189 100.49875
district_id + community_id + cohort + period 0.0363509 70.74667 100.50554
district_id + community_id + wave + cohort + period 0.0363521 70.74906 100.50894
community_id + day_of_week 0.0363596 70.76358 100.52957
community_id + wave + day_of_week 0.0363608 70.76597 100.53296
district_id + community_id + day_of_week 0.0363632 70.77076 100.53976
district_id + community_id + wave + day_of_week 0.0363645 70.77315 100.54316
district_id + wave + cohort + period + day_of_week + on_time 0.0364603 70.95971 100.80820
district_id + wave + cohort + period + day_of_week 0.0364619 70.96267 100.81239
district_id + wave + cohort + on_time 0.0364655 70.96986 100.82261
district_id + wave + cohort 0.0364681 70.97477 100.82959
district_id + cohort + on_time 0.0364736 70.98544 100.84474
district_id + wave + cohort + day_of_week + on_time 0.0364736 70.98547 100.84479
district_id + cohort + period + day_of_week + on_time 0.0364751 70.98853 100.84914
district_id + cohort 0.0364756 70.98945 100.85045
district_id + cohort + period + day_of_week 0.0364766 70.99127 100.85303
district_id + cohort + day_of_week + on_time 0.0364937 71.02474 100.90058
district_id + wave + cohort + day_of_week 0.0365233 71.08232 100.98237
wave + cohort + period + day_of_week + on_time 0.0365313 71.09777 101.00433
wave + cohort + period + day_of_week 0.0365317 71.09857 101.00546
wave + cohort + day_of_week + on_time 0.0365352 71.10545 101.01524
district_id + cohort + day_of_week 0.0365418 71.11827 101.03345
wave + cohort + on_time 0.0365423 71.11926 101.03486
wave + cohort 0.0365449 71.12427 101.04198
cohort + period + day_of_week + on_time 0.0365532 71.14047 101.06498
cohort + period + day_of_week 0.0365535 71.14106 101.06583
cohort + on_time 0.0365554 71.14472 101.07103
cohort 0.0365584 71.15057 101.07934
cohort + day_of_week + on_time 0.0365633 71.16015 101.09295
district_id + wave + cohort + period 0.0365675 71.16820 101.10438
district_id + wave + cohort + period + on_time 0.0365744 71.18172 101.12359
district_id + cohort + period 0.0365755 71.18382 101.12657
district_id + cohort + period + on_time 0.0365832 71.19891 101.14801
wave + cohort + day_of_week 0.0365862 71.20470 101.15624
cohort + day_of_week 0.0366131 71.25711 101.23069
wave + cohort + period 0.0366493 71.32750 101.33069
wave + cohort + period + on_time 0.0366551 71.33881 101.34676
cohort + period 0.0366630 71.35405 101.36840
cohort + period + on_time 0.0366688 71.36537 101.38449
Code
```{r}
#| warning: false
#| message: false
#| label: tbl-cons-ses
#| classes: plain

consumption_power_set_se %>%
    nice_table()
```
FE Specification Average SE As % of Coef. As % of No FE SE
district_id + wave + period + enum_id + on_time 18.94072 38.27219 95.25618
district_id + wave + period + enum_id 18.94571 38.28227 95.28128
district_id + period + enum_id + on_time 18.95151 38.29399 95.31045
district_id + wave + cohort + period + enum_id + on_time 18.95244 38.29586 95.31510
district_id + wave + cohort + period + enum_id 18.95461 38.30025 95.32602
district_id + period + enum_id 18.95688 38.30483 95.33743
wave + period + enum_id + on_time 18.95763 38.30634 95.34119
district_id + cohort + period + enum_id + on_time 18.95896 38.30904 95.34791
period + enum_id + on_time 18.96014 38.31143 95.35384
district_id + cohort + period + enum_id 18.96150 38.31416 95.36065
wave + cohort + period + enum_id + on_time 18.96445 38.32012 95.37549
wave + period + enum_id 18.96452 38.32028 95.37587
cohort + period + enum_id + on_time 18.96501 38.32126 95.37832
wave + cohort + period + enum_id 18.96777 38.32683 95.39218
period + enum_id 18.96792 38.32714 95.39294
cohort + period + enum_id 18.96921 38.32976 95.39947
district_id + wave + period + enum_id + day_of_week 18.98679 38.36526 95.48783
district_id + wave + cohort + period + enum_id + day_of_week 18.99093 38.37363 95.50866
district_id + period + enum_id + day_of_week 18.99642 38.38472 95.53627
district_id + cohort + period + enum_id + day_of_week 18.99652 38.38493 95.53678
district_id + wave + period + enum_id + day_of_week + on_time 18.99999 38.39193 95.55422
cohort + period + enum_id + day_of_week 19.00037 38.39272 95.55618
wave + cohort + period + enum_id + day_of_week 19.00185 38.39571 95.56362
wave + period + enum_id + day_of_week 19.00268 38.39739 95.56779
period + enum_id + day_of_week 19.00279 38.39760 95.56833
district_id + wave + cohort + period + enum_id + day_of_week + on_time 19.00639 38.40487 95.58641
district_id + period + enum_id + day_of_week + on_time 19.01008 38.41233 95.60498
district_id + cohort + period + enum_id + day_of_week + on_time 19.01263 38.41748 95.61780
wave + period + enum_id + day_of_week + on_time 19.01536 38.42299 95.63153
period + enum_id + day_of_week + on_time 19.01561 38.42351 95.63280
cohort + period + enum_id + day_of_week + on_time 19.01590 38.42408 95.63423
wave + cohort + period + enum_id + day_of_week + on_time 19.01708 38.42648 95.64021
community_id + period + enum_id 19.06285 38.51895 95.87035
community_id + wave + period + enum_id 19.06349 38.52025 95.87360
district_id + community_id + period + enum_id 19.06478 38.52285 95.88006
district_id + community_id + wave + period + enum_id 19.06543 38.52417 95.88334
community_id + period + enum_id + on_time 19.07193 38.53732 95.91606
community_id + wave + period + enum_id + on_time 19.07258 38.53862 95.91930
district_id + community_id + period + enum_id + on_time 19.07387 38.54124 95.92582
district_id + community_id + wave + period + enum_id + on_time 19.07452 38.54254 95.92907
community_id + cohort + period + enum_id 19.11260 38.61948 96.12056
community_id + wave + cohort + period + enum_id 19.11325 38.62080 96.12384
district_id + community_id + cohort + period + enum_id 19.11455 38.62343 96.13040
district_id + community_id + wave + cohort + period + enum_id 19.11520 38.62474 96.13366
community_id + period + enum_id + day_of_week 19.11568 38.62570 96.13605
community_id + wave + period + enum_id + day_of_week 19.11634 38.62704 96.13937
district_id + community_id + period + enum_id + day_of_week 19.11762 38.62964 96.14584
district_id + community_id + wave + period + enum_id + day_of_week 19.11827 38.63095 96.14911
community_id + cohort + period + enum_id + on_time 19.12489 38.64433 96.18241
community_id + wave + cohort + period + enum_id + on_time 19.12555 38.64565 96.18569
district_id + community_id + cohort + period + enum_id + on_time 19.12685 38.64828 96.19223
district_id + community_id + wave + cohort + period + enum_id + on_time 19.12750 38.64959 96.19550
community_id + period + enum_id + day_of_week + on_time 19.13446 38.66365 96.23050
community_id + wave + period + enum_id + day_of_week + on_time 19.13511 38.66498 96.23381
district_id + community_id + period + enum_id + day_of_week + on_time 19.13641 38.66759 96.24030
district_id + community_id + wave + period + enum_id + day_of_week + on_time 19.13705 38.66889 96.24355
community_id + cohort + period + enum_id + day_of_week 19.16731 38.73003 96.39572
community_id + wave + cohort + period + enum_id + day_of_week 19.16796 38.73135 96.39899
district_id + community_id + cohort + period + enum_id + day_of_week 19.16927 38.73399 96.40557
district_id + community_id + wave + cohort + period + enum_id + day_of_week 19.16991 38.73529 96.40881
community_id + cohort + period + enum_id + day_of_week + on_time 19.18922 38.77430 96.50590
community_id + wave + cohort + period + enum_id + day_of_week + on_time 19.18987 38.77561 96.50917
district_id + community_id + cohort + period + enum_id + day_of_week + on_time 19.19118 38.77827 96.51578
district_id + community_id + wave + cohort + period + enum_id + day_of_week + on_time 19.19183 38.77958 96.51903
district_id + wave + enum_id 19.30085 38.99988 97.06734
district_id + enum_id 19.30296 39.00414 97.07794
district_id + cohort + enum_id 19.30622 39.01071 97.09431
district_id + wave + cohort + enum_id 19.30645 39.01119 97.09550
district_id + wave + enum_id + on_time 19.31715 39.03281 97.14931
district_id + enum_id + on_time 19.31855 39.03564 97.15636
district_id + cohort + enum_id + on_time 19.31928 39.03712 97.16003
district_id + wave + cohort + enum_id + on_time 19.32036 39.03929 97.16543
community_id + enum_id 19.33127 39.06134 97.22031
community_id + wave + enum_id 19.33192 39.06265 97.22358
district_id + community_id + enum_id 19.33324 39.06531 97.23019
district_id + community_id + wave + enum_id 19.33389 39.06663 97.23348
cohort + enum_id 19.33745 39.07382 97.25137
enum_id 19.33932 39.07760 97.26078
wave + cohort + enum_id 19.34443 39.08793 97.28649
community_id + enum_id + on_time 19.34573 39.09054 97.29300
wave + enum_id 19.34594 39.09099 97.29410
community_id + wave + enum_id + on_time 19.34638 39.09187 97.29631
cohort + enum_id + on_time 19.34701 39.09315 97.29948
district_id + community_id + enum_id + on_time 19.34769 39.09452 97.30291
district_id + community_id + wave + enum_id + on_time 19.34835 39.09585 97.30621
enum_id + on_time 19.35165 39.10252 97.32281
wave + cohort + enum_id + on_time 19.35485 39.10897 97.33887
wave + enum_id + on_time 19.35908 39.11753 97.36016
community_id + cohort + enum_id 19.37139 39.14240 97.42207
community_id + wave + cohort + enum_id 19.37205 39.14373 97.42537
district_id + community_id + cohort + enum_id 19.37336 39.14639 97.43199
district_id + community_id + wave + cohort + enum_id 19.37402 39.14771 97.43528
community_id + cohort + enum_id + on_time 19.37874 39.15726 97.45905
community_id + wave + cohort + enum_id + on_time 19.37940 39.15859 97.46235
district_id + community_id + cohort + enum_id + on_time 19.38072 39.16125 97.46898
district_id + community_id + wave + cohort + enum_id + on_time 19.38137 39.16257 97.47228
district_id + cohort + enum_id + day_of_week 19.40555 39.21142 97.59385
district_id + wave + cohort + enum_id + day_of_week 19.41061 39.22165 97.61931
district_id + cohort + enum_id + day_of_week + on_time 19.42079 39.24222 97.67050
district_id + enum_id + day_of_week 19.42545 39.25164 97.69396
district_id + wave + cohort + enum_id + day_of_week + on_time 19.42573 39.25220 97.69534
cohort + enum_id + day_of_week 19.42637 39.25350 97.69859
district_id + wave + enum_id + day_of_week 19.42863 39.25806 97.70994
district_id + enum_id + day_of_week + on_time 19.43728 39.27554 97.75344
wave + cohort + enum_id + day_of_week 19.43819 39.27739 97.75805
district_id + wave + enum_id + day_of_week + on_time 19.44052 39.28209 97.76973
cohort + enum_id + day_of_week + on_time 19.44169 39.28446 97.77563
community_id + enum_id + day_of_week 19.44569 39.29254 97.79575
community_id + wave + enum_id + day_of_week 19.44635 39.29387 97.79907
district_id + community_id + enum_id + day_of_week 19.44767 39.29654 97.80572
district_id + community_id + wave + enum_id + day_of_week 19.44833 39.29787 97.80902
wave + cohort + enum_id + day_of_week + on_time 19.45368 39.30869 97.83594
enum_id + day_of_week 19.45373 39.30877 97.83615
enum_id + day_of_week + on_time 19.46528 39.33213 97.89429
wave + enum_id + day_of_week 19.46573 39.33304 97.89655
community_id + cohort + enum_id + day_of_week 19.46664 39.33488 97.90113
community_id + wave + cohort + enum_id + day_of_week 19.46730 39.33621 97.90445
community_id + enum_id + day_of_week + on_time 19.46822 39.33805 97.90903
district_id + community_id + cohort + enum_id + day_of_week 19.46863 39.33889 97.91110
community_id + wave + enum_id + day_of_week + on_time 19.46888 39.33939 97.91237
district_id + community_id + wave + cohort + enum_id + day_of_week 19.46929 39.34022 97.91442
district_id + community_id + enum_id + day_of_week + on_time 19.47020 39.34207 97.91902
district_id + community_id + wave + enum_id + day_of_week + on_time 19.47086 39.34340 97.92233
wave + enum_id + day_of_week + on_time 19.47758 39.35697 97.95611
community_id + cohort + enum_id + day_of_week + on_time 19.49503 39.39223 98.04388
community_id + wave + cohort + enum_id + day_of_week + on_time 19.49568 39.39356 98.04717
district_id + community_id + cohort + enum_id + day_of_week + on_time 19.49701 39.39624 98.05384
district_id + community_id + wave + cohort + enum_id + day_of_week + on_time 19.49767 39.39757 98.05717
district_id + wave + period + on_time 19.79325 39.99482 99.54366
wave + cohort + period + on_time 19.79572 39.99982 99.55612
district_id + wave + period 19.79778 40.00399 99.56648
wave + cohort + period 19.79814 40.00470 99.56826
district_id + period + on_time 19.80264 40.01381 99.59092
cohort + period + on_time 19.80281 40.01415 99.59177
cohort + period 19.80576 40.02010 99.60659
wave + period + on_time 19.80634 40.02129 99.60953
district_id + wave + cohort + period + on_time 19.80735 40.02332 99.61461
community_id + period 19.80738 40.02339 99.61476
district_id + wave + cohort + period 19.80749 40.02361 99.61532
district_id + period 19.80761 40.02383 99.61588
community_id + wave + period 19.80805 40.02473 99.61812
period + on_time 19.80934 40.02735 99.62463
district_id + community_id + period 19.80938 40.02743 99.62482
district_id + community_id + wave + period 19.81005 40.02878 99.62818
district_id + cohort + period + on_time 19.81465 40.03807 99.65131
district_id + cohort + period 19.81521 40.03919 99.65410
wave + period 19.81639 40.04158 99.66004
community_id + period + on_time 19.81714 40.04310 99.66382
community_id + wave + period + on_time 19.81781 40.04445 99.66718
district_id + community_id + period + on_time 19.81914 40.04714 99.67389
district_id + community_id + wave + period + on_time 19.81981 40.04849 99.67725
period 19.82009 40.04907 99.67868
cohort + period + day_of_week 19.84007 40.08944 99.77916
wave + cohort + period + day_of_week 19.84188 40.09310 99.78827
cohort + period + day_of_week + on_time 19.85300 40.11556 99.84417
district_id + wave + period + day_of_week 19.85373 40.11704 99.84787
wave + cohort + period + day_of_week + on_time 19.85528 40.12017 99.85566
district_id + wave + cohort + period + day_of_week 19.85566 40.12093 99.85754
community_id + cohort + period 19.85667 40.12297 99.86263
community_id + wave + cohort + period 19.85734 40.12432 99.86599
district_id + community_id + cohort + period 19.85867 40.12703 99.87272
district_id + cohort + period + day_of_week 19.85871 40.12710 99.87290
district_id + period + day_of_week 19.85874 40.12717 99.87306
community_id + period + day_of_week 19.85909 40.12787 99.87482
district_id + community_id + wave + cohort + period 19.85934 40.12838 99.87608
wave + cohort 19.85957 40.12883 99.87720
community_id + wave + period + day_of_week 19.85976 40.12922 99.87818
district_id + community_id + period + day_of_week 19.86110 40.13193 99.88491
district_id + wave + period + day_of_week + on_time 19.86162 40.13298 99.88754
district_id + community_id + wave + period + day_of_week 19.86177 40.13328 99.88828
period + day_of_week 19.86202 40.13378 99.88953
district_id + period + day_of_week + on_time 19.86659 40.14302 99.91252
cohort 19.86664 40.14313 99.91279
period + day_of_week + on_time 19.86766 40.14519 99.91792
wave + period + day_of_week 19.86864 40.14716 99.92282
district_id + wave + cohort + period + day_of_week + on_time 19.86896 40.14782 99.92446
community_id + cohort + period + on_time 19.87131 40.15255 99.93625
community_id + wave + cohort + period + on_time 19.87198 40.15390 99.93961
district_id + cohort + period + day_of_week + on_time 19.87226 40.15448 99.94105
district_id + community_id + cohort + period + on_time 19.87331 40.15661 99.94634
district_id + community_id + wave + cohort + period + on_time 19.87398 40.15796 99.94971
wave + period + day_of_week + on_time 19.87492 40.15985 99.95441
community_id + period + day_of_week + on_time 19.87895 40.16800 99.97469
community_id + wave + period + day_of_week + on_time 19.87962 40.16935 99.97805
district_id + community_id + period + day_of_week + on_time 19.88096 40.17205 99.98479
wave 19.88122 40.17259 99.98611
district_id + community_id + wave + period + day_of_week + on_time 19.88163 40.17341 99.98815
wave + cohort + on_time 19.88277 40.17571 99.99388
None 19.88398 40.17817 100.00000
community_id 19.88723 40.18472 100.01631
community_id + wave 19.88790 40.18607 100.01968
district_id + wave 19.88873 40.18776 100.02387
district_id + community_id 19.88923 40.18878 100.02641
cohort + on_time 19.88930 40.18891 100.02673
district_id + community_id + wave 19.88990 40.19013 100.02977
district_id + wave + cohort 19.89434 40.19908 100.05206
district_id 19.89723 40.20494 100.06663
district_id + cohort 19.90148 40.21351 100.08798
wave + on_time 19.90309 40.21678 100.09609
on_time 19.90524 40.22111 100.10688
community_id + cohort + period + day_of_week 19.91008 40.23089 100.13122
community_id + wave + cohort + period + day_of_week 19.91075 40.23224 100.13459
district_id + community_id + cohort + period + day_of_week 19.91209 40.23495 100.14133
district_id + community_id + wave + cohort + period + day_of_week 19.91276 40.23631 100.14471
district_id + wave + on_time 19.91519 40.24122 100.15694
community_id + on_time 19.91720 40.24529 100.16707
community_id + wave + on_time 19.91787 40.24665 100.17044
district_id + community_id + on_time 19.91921 40.24935 100.17718
district_id + wave + cohort + on_time 19.91951 40.24996 100.17869
district_id + community_id + wave + on_time 19.91988 40.25071 100.18055
district_id + on_time 19.92318 40.25736 100.19711
district_id + cohort + on_time 19.92603 40.26312 100.21144
community_id + cohort + period + day_of_week + on_time 19.93685 40.28498 100.26586
community_id + wave + cohort + period + day_of_week + on_time 19.93752 40.28634 100.26924
district_id + community_id + cohort + period + day_of_week + on_time 19.93886 40.28906 100.27599
district_id + community_id + wave + cohort + period + day_of_week + on_time 19.93953 40.29041 100.27937
community_id + cohort 19.94346 40.29835 100.29912
community_id + wave + cohort 19.94413 40.29971 100.30250
district_id + community_id + cohort 19.94547 40.30242 100.30925
district_id + community_id + wave + cohort 19.94615 40.30377 100.31263
community_id + cohort + on_time 19.97026 40.35251 100.43392
community_id + wave + cohort + on_time 19.97094 40.35386 100.43730
district_id + community_id + cohort + on_time 19.97228 40.35658 100.44406
district_id + community_id + wave + cohort + on_time 19.97295 40.35794 100.44744
cohort + day_of_week 20.07088 40.55582 100.93994
wave + cohort + day_of_week 20.08610 40.58656 101.01646
cohort + day_of_week + on_time 20.13131 40.67792 101.24384
district_id + cohort + day_of_week 20.14361 40.70278 101.30571
day_of_week 20.14821 40.71206 101.32882
district_id + wave + cohort + day_of_week 20.14826 40.71217 101.32908
wave + cohort + day_of_week + on_time 20.14921 40.71410 101.33388
community_id + day_of_week 20.16147 40.73887 101.39554
community_id + wave + day_of_week 20.16215 40.74024 101.39895
district_id + community_id + day_of_week 20.16351 40.74298 101.40578
district_id + community_id + wave + day_of_week 20.16419 40.74436 101.40920
wave + day_of_week 20.16749 40.75103 101.42580
community_id + cohort + day_of_week 20.17186 40.75986 101.44779
community_id + wave + cohort + day_of_week 20.17254 40.76124 101.45121
district_id + community_id + cohort + day_of_week 20.17390 40.76398 101.45804
district_id + community_id + wave + cohort + day_of_week 20.17458 40.76535 101.46146
day_of_week + on_time 20.18331 40.78300 101.50539
district_id + day_of_week 20.19077 40.79807 101.54288
district_id + wave + day_of_week 20.19306 40.80271 101.55442
district_id + cohort + day_of_week + on_time 20.20007 40.81686 101.58965
wave + day_of_week + on_time 20.20582 40.82848 101.61857
district_id + wave + cohort + day_of_week + on_time 20.20607 40.82898 101.61982
district_id + day_of_week + on_time 20.22750 40.87228 101.72759
district_id + wave + day_of_week + on_time 20.23200 40.88138 101.75024
community_id + day_of_week + on_time 20.23762 40.89273 101.77847
community_id + wave + day_of_week + on_time 20.23830 40.89410 101.78190
district_id + community_id + day_of_week + on_time 20.23966 40.89686 101.78876
district_id + community_id + wave + day_of_week + on_time 20.24034 40.89823 101.79218
community_id + cohort + day_of_week + on_time 20.27805 40.97442 101.98182
community_id + wave + cohort + day_of_week + on_time 20.27873 40.97580 101.98525
district_id + community_id + cohort + day_of_week + on_time 20.28010 40.97856 101.99212
district_id + community_id + wave + cohort + day_of_week + on_time 20.28078 40.97994 101.99555
Code
```{r}
#| warning: false
#| message: false
#| label: tbl-inc-ses
#| classes: plain

income_power_set_se %>%
    nice_table()
```
FE Specification Average SE As % of Coef. As % of No FE SE
district_id + wave + cohort 10.69914 47.21249 97.73730
district_id + wave + cohort + period 10.70116 47.22141 97.75575
district_id + cohort 10.71260 47.27188 97.86025
district_id + cohort + period 10.71463 47.28081 97.87872
district_id + wave 10.80290 47.67035 98.68513
district_id + wave + period 10.80494 47.67935 98.70376
district_id 10.81620 47.72903 98.80661
district_id + period 10.81824 47.73804 98.82526
wave + cohort 10.82198 47.75453 98.85939
wave + cohort + period 10.82402 47.76354 98.87805
district_id + wave + cohort + period + enum_id 10.83839 47.82693 99.00928
cohort 10.84102 47.83855 99.03334
district_id + cohort + period + enum_id 10.84159 47.84106 99.03853
cohort + period 10.84307 47.84758 99.05203
district_id + wave + period + enum_id 10.87625 47.99401 99.35517
wave + cohort + period + enum_id 10.87818 48.00251 99.37276
district_id + period + enum_id 10.87824 48.00280 99.37336
cohort + period + enum_id 10.88899 48.05025 99.47159
wave + period + enum_id 10.92290 48.19985 99.78129
wave 10.92671 48.21667 99.81611
wave + period 10.92877 48.22577 99.83495
period + enum_id 10.93296 48.24425 99.87320
None 10.94684 48.30550 100.00000
period 10.94890 48.31462 100.01887
district_id + wave + cohort + enum_id 11.03892 48.71181 100.84113
district_id + cohort + enum_id 11.04425 48.73535 100.88985
community_id + cohort 11.06183 48.81293 101.05046
community_id + wave + cohort 11.06218 48.81447 101.05364
district_id + community_id + cohort 11.06287 48.81754 101.05999
district_id + community_id + wave + cohort 11.06322 48.81907 101.06317
community_id + cohort + period 11.06392 48.82214 101.06953
community_id + wave + cohort + period 11.06427 48.82368 101.07271
district_id + community_id + cohort + period 11.06496 48.82675 101.07907
district_id + community_id + wave + cohort + period 11.06531 48.82829 101.08225
wave + cohort + enum_id 11.07607 48.87576 101.18053
district_id + wave + enum_id 11.08287 48.90576 101.24263
district_id + enum_id 11.08715 48.92465 101.28173
cohort + enum_id 11.09070 48.94035 101.31423
community_id 11.09726 48.96929 101.37415
community_id + wave 11.09761 48.97083 101.37734
district_id + community_id 11.09831 48.97391 101.38372
district_id + community_id + wave 11.09866 48.97545 101.38691
community_id + period 11.09936 48.97854 101.39329
community_id + wave + period 11.09971 48.98008 101.39648
district_id + community_id + period 11.10041 48.98316 101.40286
district_id + community_id + wave + period 11.10076 48.98470 101.40605
wave + enum_id 11.12581 49.09526 101.63493
community_id + cohort + period + enum_id 11.13088 49.11765 101.68127
community_id + wave + cohort + period + enum_id 11.13124 49.11920 101.68449
district_id + community_id + cohort + period + enum_id 11.13194 49.12231 101.69093
district_id + community_id + wave + cohort + period + enum_id 11.13229 49.12387 101.69415
enum_id 11.14003 49.15800 101.76481
community_id + period + enum_id 11.16232 49.25634 101.96839
community_id + wave + period + enum_id 11.16267 49.25790 101.97162
district_id + community_id + period + enum_id 11.16338 49.26102 101.97808
district_id + community_id + wave + period + enum_id 11.16373 49.26258 101.98131
community_id + cohort + enum_id 11.31381 49.92483 103.35227
community_id + wave + cohort + enum_id 11.31416 49.92641 103.35554
district_id + community_id + cohort + enum_id 11.31488 49.92958 103.36209
district_id + community_id + wave + cohort + enum_id 11.31524 49.93116 103.36536
community_id + enum_id 11.35082 50.08815 103.69036
community_id + wave + enum_id 11.35117 50.08973 103.69364
district_id + community_id + enum_id 11.35189 50.09290 103.70020
district_id + community_id + wave + enum_id 11.35225 50.09449 103.70349
district_id + wave + cohort + period + on_time 11.52603 50.86132 105.29094
district_id + cohort + period + on_time 11.53261 50.89036 105.35107
district_id + wave + cohort + on_time 11.56380 51.02799 105.63598
district_id + cohort + on_time 11.56921 51.05186 105.68539
district_id + wave + cohort + period + day_of_week + on_time 11.58594 51.12568 105.83822
district_id + wave + cohort + period + day_of_week 11.59006 51.14386 105.87585
district_id + cohort + period + day_of_week + on_time 11.59179 51.15148 105.89163
district_id + cohort + period + day_of_week 11.59568 51.16867 105.92721
district_id + wave + period + on_time 11.61384 51.24881 106.09310
district_id + period + on_time 11.61938 51.27326 106.14373
district_id + wave + cohort + day_of_week 11.62712 51.30741 106.21443
wave + cohort + period + on_time 11.62845 51.31327 106.22655
cohort + period + on_time 11.63430 51.33910 106.28003
district_id + cohort + day_of_week 11.63497 51.34206 106.28615
district_id + wave + cohort + day_of_week + on_time 11.64930 51.40528 106.41702
district_id + wave + on_time 11.65103 51.41291 106.43283
district_id + on_time 11.65560 51.43309 106.47461
district_id + cohort + day_of_week + on_time 11.65634 51.43636 106.48136
wave + cohort + on_time 11.65804 51.44383 106.49684
cohort + on_time 11.66328 51.46699 106.54477
district_id + wave + cohort + period + enum_id + on_time 11.66756 51.48586 106.58385
district_id + cohort + period + enum_id + on_time 11.67491 51.51828 106.65095
district_id + wave + period + day_of_week + on_time 11.67882 51.53556 106.68674
district_id + wave + period + day_of_week 11.68271 51.55273 106.72226
district_id + period + day_of_week + on_time 11.68338 51.55566 106.72835
district_id + period + day_of_week 11.68697 51.57151 106.76115
district_id + wave + cohort + period + enum_id + day_of_week + on_time 11.68824 51.57711 106.77275
district_id + wave + cohort + period + enum_id + day_of_week 11.68979 51.58393 106.78687
wave + cohort + period + day_of_week + on_time 11.69551 51.60918 106.83914
district_id + cohort + period + enum_id + day_of_week + on_time 11.69641 51.61316 106.84738
wave + cohort + period + day_of_week 11.69659 51.61395 106.84900
district_id + cohort + period + enum_id + day_of_week 11.69785 51.61950 106.86050
cohort + period + day_of_week + on_time 11.70070 51.63210 106.88659
cohort + period + day_of_week 11.70156 51.63590 106.89445
district_id + wave + period + enum_id + on_time 11.71130 51.67887 106.98340
district_id + period + enum_id + on_time 11.71583 51.69886 107.02479
wave + period + on_time 11.71851 51.71069 107.04927
period + on_time 11.72222 51.72705 107.08315
wave + cohort + day_of_week 11.72304 51.73069 107.09068
district_id + wave + day_of_week 11.72326 51.73163 107.09264
district_id + day_of_week 11.72937 51.75860 107.14847
cohort + day_of_week 11.73027 51.76257 107.15668
district_id + wave + period + enum_id + day_of_week + on_time 11.73543 51.78535 107.20383
district_id + wave + period + enum_id + day_of_week 11.73712 51.79280 107.21926
wave + cohort + period + enum_id + on_time 11.73799 51.79664 107.22721
district_id + period + enum_id + day_of_week + on_time 11.74063 51.80827 107.25129
district_id + period + enum_id + day_of_week 11.74222 51.81532 107.26587
district_id + wave + day_of_week + on_time 11.74238 51.81602 107.26733
wave + cohort + day_of_week + on_time 11.74321 51.81968 107.27491
wave + on_time 11.74713 51.83696 107.31068
district_id + day_of_week + on_time 11.74767 51.83935 107.31562
cohort + day_of_week + on_time 11.74918 51.84603 107.32945
on_time 11.75061 51.85234 107.34251
cohort + period + enum_id + on_time 11.75614 51.87673 107.39300
wave + cohort + period + enum_id + day_of_week 11.75780 51.88406 107.40817
wave + cohort + period + enum_id + day_of_week + on_time 11.75836 51.88652 107.41327
cohort + period + enum_id + day_of_week 11.77682 51.96799 107.58192
cohort + period + enum_id + day_of_week + on_time 11.77760 51.97145 107.58909
wave + period + enum_id + on_time 11.78963 52.02452 107.69896
wave + period + day_of_week + on_time 11.79215 52.03564 107.72198
wave + period + day_of_week 11.79275 52.03830 107.72749
period + day_of_week + on_time 11.79437 52.04542 107.74221
period + day_of_week 11.79462 52.04654 107.74453
period + enum_id + on_time 11.80491 52.09196 107.83856
wave + period + enum_id + day_of_week 11.81283 52.12690 107.91089
wave + period + enum_id + day_of_week + on_time 11.81342 52.12952 107.91631
wave + day_of_week 11.82378 52.17521 108.01091
day_of_week 11.82739 52.19114 108.04387
period + enum_id + day_of_week 11.82861 52.19651 108.05500
period + enum_id + day_of_week + on_time 11.82942 52.20012 108.06247
wave + day_of_week + on_time 11.83974 52.24566 108.15674
day_of_week + on_time 11.84223 52.25662 108.17944
district_id + wave + cohort + enum_id + on_time 11.90616 52.53875 108.76349
district_id + wave + cohort + enum_id + day_of_week 11.90718 52.54323 108.77277
district_id + wave + cohort + enum_id + day_of_week + on_time 11.91063 52.55845 108.80427
district_id + cohort + enum_id + on_time 11.91571 52.58087 108.85070
district_id + cohort + enum_id + day_of_week 11.91865 52.59384 108.87754
district_id + cohort + enum_id + day_of_week + on_time 11.92193 52.60832 108.90751
community_id + cohort + period + on_time 11.92438 52.61913 108.92989
community_id + wave + cohort + period + on_time 11.92478 52.62090 108.93355
district_id + community_id + cohort + period + on_time 11.92558 52.62444 108.94089
district_id + community_id + wave + cohort + period + on_time 11.92598 52.62622 108.94456
district_id + wave + enum_id + on_time 11.95573 52.75749 109.21631
community_id + period + on_time 11.95818 52.76830 109.23870
community_id + wave + period + on_time 11.95859 52.77008 109.24237
community_id + cohort + period + day_of_week + on_time 11.95924 52.77296 109.24834
district_id + community_id + period + on_time 11.95939 52.77363 109.24973
community_id + wave + cohort + period + day_of_week + on_time 11.95964 52.77474 109.25203
district_id + community_id + wave + period + on_time 11.95979 52.77541 109.25341
district_id + community_id + cohort + period + day_of_week + on_time 11.96045 52.77829 109.25939
district_id + community_id + wave + cohort + period + day_of_week + on_time 11.96085 52.78007 109.26307
district_id + enum_id + on_time 11.96264 52.78798 109.27943
district_id + wave + enum_id + day_of_week 11.96297 52.78942 109.28242
community_id + cohort + on_time 11.96471 52.79710 109.29832
community_id + wave + cohort + on_time 11.96511 52.79888 109.30200
district_id + community_id + cohort + on_time 11.96592 52.80243 109.30936
district_id + wave + enum_id + day_of_week + on_time 11.96597 52.80267 109.30985
district_id + community_id + wave + cohort + on_time 11.96632 52.80421 109.31304
community_id + cohort + period + day_of_week 11.96937 52.81766 109.34088
community_id + wave + cohort + period + day_of_week 11.96977 52.81943 109.34455
district_id + community_id + cohort + period + day_of_week 11.97058 52.82299 109.35192
district_id + community_id + wave + cohort + period + day_of_week 11.97098 52.82477 109.35560
district_id + enum_id + day_of_week 11.97124 52.82593 109.35800
district_id + enum_id + day_of_week + on_time 11.97410 52.83855 109.38412
wave + cohort + enum_id + on_time 11.97626 52.84807 109.40384
wave + cohort + enum_id + day_of_week 11.97859 52.85835 109.42512
community_id + cohort + day_of_week 11.97999 52.86453 109.43792
community_id + wave + cohort + day_of_week 11.98039 52.86631 109.44159
district_id + community_id + cohort + day_of_week 11.98120 52.86987 109.44896
district_id + community_id + wave + cohort + day_of_week 11.98160 52.87165 109.45265
wave + cohort + enum_id + day_of_week + on_time 11.98237 52.87505 109.45968
community_id + cohort + period + enum_id + on_time 11.99374 52.92522 109.56355
community_id + period + day_of_week + on_time 11.99389 52.92587 109.56489
community_id + wave + cohort + period + enum_id + on_time 11.99415 52.92702 109.56727
community_id + wave + period + day_of_week + on_time 11.99429 52.92765 109.56857
district_id + community_id + cohort + period + enum_id + on_time 11.99496 52.93061 109.57469
district_id + community_id + period + day_of_week + on_time 11.99510 52.93121 109.57595
district_id + community_id + wave + cohort + period + enum_id + on_time 11.99537 52.93240 109.57841
district_id + community_id + wave + period + day_of_week + on_time 11.99551 52.93300 109.57964
community_id + on_time 11.99734 52.94110 109.59643
community_id + wave + on_time 11.99775 52.94289 109.60011
district_id + community_id + on_time 11.99855 52.94645 109.60749
district_id + community_id + wave + on_time 11.99896 52.94823 109.61118
cohort + enum_id + on_time 11.99988 52.95230 109.61960
community_id + cohort + period + enum_id + day_of_week + on_time 12.00005 52.95304 109.62114
community_id + wave + cohort + period + enum_id + day_of_week + on_time 12.00046 52.95484 109.62485
district_id + community_id + cohort + period + enum_id + day_of_week + on_time 12.00127 52.95843 109.63230
district_id + community_id + wave + cohort + period + enum_id + day_of_week + on_time 12.00168 52.96023 109.63601
community_id + period + day_of_week 12.00352 52.96836 109.65285
community_id + wave + period + day_of_week 12.00393 52.97015 109.65655
district_id + community_id + period + day_of_week 12.00473 52.97371 109.66393
district_id + community_id + wave + period + day_of_week 12.00514 52.97550 109.66763
cohort + enum_id + day_of_week 12.00516 52.97560 109.66784
community_id + cohort + period + enum_id + day_of_week 12.00535 52.97642 109.66954
community_id + wave + cohort + period + enum_id + day_of_week 12.00576 52.97822 109.67327
district_id + community_id + cohort + period + enum_id + day_of_week 12.00657 52.98183 109.68073
district_id + community_id + wave + cohort + period + enum_id + day_of_week 12.00698 52.98362 109.68444
cohort + enum_id + day_of_week + on_time 12.00873 52.99137 109.70048
community_id + cohort + day_of_week + on_time 12.01104 53.00156 109.72157
community_id + wave + cohort + day_of_week + on_time 12.01145 53.00334 109.72526
district_id + community_id + cohort + day_of_week + on_time 12.01226 53.00691 109.73266
district_id + community_id + wave + cohort + day_of_week + on_time 12.01266 53.00870 109.73636
community_id + day_of_week 12.02210 53.05033 109.82254
community_id + wave + day_of_week 12.02250 53.05212 109.82624
district_id + community_id + day_of_week 12.02331 53.05569 109.83363
district_id + community_id + wave + day_of_week 12.02372 53.05747 109.83733
wave + enum_id + on_time 12.03254 53.09643 109.91798
community_id + period + enum_id + on_time 12.03613 53.11227 109.95077
community_id + wave + period + enum_id + on_time 12.03654 53.11407 109.95449
district_id + community_id + period + enum_id + on_time 12.03736 53.11767 109.96195
district_id + community_id + wave + period + enum_id + on_time 12.03776 53.11947 109.96568
wave + enum_id + day_of_week 12.04147 53.13584 109.99956
community_id + period + enum_id + day_of_week + on_time 12.04318 53.14336 110.01513
community_id + wave + period + enum_id + day_of_week + on_time 12.04359 53.14517 110.01887
district_id + community_id + period + enum_id + day_of_week + on_time 12.04440 53.14877 110.02632
wave + enum_id + day_of_week + on_time 12.04477 53.15040 110.02969
district_id + community_id + wave + period + enum_id + day_of_week + on_time 12.04481 53.15057 110.03005
community_id + period + enum_id + day_of_week 12.04798 53.16455 110.05900
community_id + wave + period + enum_id + day_of_week 12.04839 53.16636 110.06275
community_id + day_of_week + on_time 12.04890 53.16861 110.06739
district_id + community_id + period + enum_id + day_of_week 12.04921 53.16997 110.07021
community_id + wave + day_of_week + on_time 12.04931 53.17040 110.07110
district_id + community_id + wave + period + enum_id + day_of_week 12.04962 53.17177 110.07394
district_id + community_id + day_of_week + on_time 12.05012 53.17398 110.07852
district_id + community_id + wave + day_of_week + on_time 12.05052 53.17577 110.08222
enum_id + on_time 12.05375 53.19003 110.11174
enum_id + day_of_week 12.06489 53.23915 110.21344
enum_id + day_of_week + on_time 12.06803 53.25303 110.24216
community_id + cohort + enum_id + day_of_week 12.19272 53.80326 111.38123
community_id + wave + cohort + enum_id + day_of_week 12.19314 53.80508 111.38500
district_id + community_id + cohort + enum_id + day_of_week 12.19396 53.80874 111.39257
district_id + community_id + wave + cohort + enum_id + day_of_week 12.19438 53.81056 111.39635
community_id + cohort + enum_id + day_of_week + on_time 12.19473 53.81213 111.39958
community_id + wave + cohort + enum_id + day_of_week + on_time 12.19514 53.81394 111.40334
district_id + community_id + cohort + enum_id + day_of_week + on_time 12.19597 53.81760 111.41091
district_id + community_id + wave + cohort + enum_id + day_of_week + on_time 12.19639 53.81943 111.41469
community_id + cohort + enum_id + on_time 12.20622 53.86280 111.50448
community_id + wave + cohort + enum_id + on_time 12.20663 53.86463 111.50826
district_id + community_id + cohort + enum_id + on_time 12.20746 53.86827 111.51582
district_id + community_id + wave + cohort + enum_id + on_time 12.20787 53.87010 111.51960
community_id + enum_id + day_of_week 12.24328 54.02635 111.84305
community_id + wave + enum_id + day_of_week 12.24369 54.02818 111.84684
community_id + enum_id + day_of_week + on_time 12.24395 54.02932 111.84920
community_id + wave + enum_id + day_of_week + on_time 12.24437 54.03115 111.85299
district_id + community_id + enum_id + day_of_week 12.24452 54.03184 111.85442
district_id + community_id + wave + enum_id + day_of_week 12.24494 54.03367 111.85822
district_id + community_id + enum_id + day_of_week + on_time 12.24520 54.03482 111.86059
district_id + community_id + wave + enum_id + day_of_week + on_time 12.24561 54.03665 111.86438
community_id + enum_id + on_time 12.25306 54.06951 111.93240
community_id + wave + enum_id + on_time 12.25347 54.07134 111.93619
district_id + community_id + enum_id + on_time 12.25430 54.07500 111.94377
district_id + community_id + wave + enum_id + on_time 12.25472 54.07683 111.94756

The best FE, as measured by improvement of SE as % of No FE SE, across all 4 outcomes is: district_id + wave + period + enum_id.

However, it is important to note that is only true when looking at the average. For some outcomes, even the best FE combination makes no difference (SE is ~99.36% of the SE when No FE is included). For the the next best FE combinations, they have larger SE’s for some outcomes compared to having No FE at all.

Code
```{r}
# For each power_set_se dataset, we should merge them into a single dataset for easier comparison. Keep only the avg_se_pct_coeff, avg_se_pct_none and fe columns, adding a variable column to indicate which variable it is.
phq2_se <- phq2_power_set_se %>%
    select(fe_spec, avg_se_pct_coeff, avg_se_pct_none) %>%
    mutate(variable = "PHQ-2 Z-Score")
gad2_se <- gad2_power_set_se %>%
    select(fe_spec, avg_se_pct_coeff, avg_se_pct_none) %>%
    mutate(variable = "GAD-2 Z-Score")
consumption_se <- consumption_power_set_se %>%
    select(fe_spec, avg_se_pct_coeff, avg_se_pct_none) %>%
    mutate(variable = "Total Consumption")
income_se <- income_power_set_se %>%
    select(fe_spec, avg_se_pct_coeff, avg_se_pct_none) %>%
    mutate(variable = "Total Income")

combined_se <- bind_rows(phq2_se, gad2_se, consumption_se, income_se)


combined_se_summary <- combined_se %>%
    group_by(fe_spec) %>%
    summarise(
        mean_se_pct_coeff = mean(avg_se_pct_coeff),
        mean_se_pct_none = mean(avg_se_pct_none),
        min_se_pct_coeff = min(avg_se_pct_coeff),
        max_se_pct_coeff = max(avg_se_pct_coeff),
        min_se_pct_none = min(avg_se_pct_none),
        max_se_pct_none = max(avg_se_pct_none)
    ) %>%
    mutate(
        fe_spec = fct_reorder(fe_spec, mean_se_pct_none, .desc = TRUE)
    )
```
Code
```{r}
#| fig.width: 10
#| fig.height: 8
p <- ggplot(combined_se_summary, aes(y = fe_spec, text = paste0(
    "FE Spec: ", fe_spec, "<br>",
    "% of No FE: ", round(mean_se_pct_none, 2), "<br>",
    "Min SE % of No FE: ", round(min_se_pct_none, 2), "<br>",
    "Max SE % of No FE: ", round(max_se_pct_none, 2)
))) + 
    # GOAL: Add no variable labels on the y-axis and instead have it show up on hover on the points(x, y = NULL, type = "p", ...)
    geom_point(aes(x = mean_se_pct_none)) +
    # Color "None" fe_spec as red
    geom_point(data = filter(combined_se_summary, fe_spec == "None"), aes(x = mean_se_pct_none), color = "red") +
    labs(
        x = "% of No FE SE (mean, min, max)",
        y = NULL
    )  + 
    theme(axis.text.y = element_blank())

ggplotly(p, tooltip = "text")
```